Daftar Isi ⇅
show
Dalam kehidupan sehari-hari tentunya kita sering melihat dan mendapati benda yang dapat bergerak. Entah itu mobil yang dapat bergerak maju dan lurus, buah yang bergerak jatuh dari pohonnya, atau pun bola yang bergerak sendiri tanpa ditendang karena keadaan lantai atau lapangan yang tidak datar. Bahkan, sejatinya pohon pun cenderung bergerak ke atas ketika tumbuh, meskipun kita tidak melihatnya secara langsung.
Namun, pernahkah terbesitkan di dalam pikiran kita, sebetulnya mengapa suatu benda dapat bergerak? Apa yang menyebabkan benda dapat bergerak? Gerak seperti apa yang dilakukan oleh benda saat memperoleh gaya? Apakah lingkungan sekitar benda dapat memengaruhi gerak benda? Berikut adalah berbagai uraian dan pemaparan untuk menjawab berbagai misteri mengenai gerak benda tersebut.
Konsep Gerak
Saat sesuatu bergerak tentunya terdapat jarak dan perpindahan yang terjadi. Contohnya, kita akan berangkat ke sekolah atau ke tempat setiap harinya. Maka, kita akan berpindah dari rumah ke sekolah dengan jarak tempuh tertentu, misalnya 2 kilometer.
Setiap kali kita berangkat dari rumah ke sekolah yang jaraknya 2 km kemudian kembali lagi ke rumah, maka jarak tempuh yang dilakukan setiap hari adalah 4 km (2km + 2km). Namun perpindahan yang terjadi bernilai nol km. Mengapa demikian? Karena ada perbedaan makna antara jarak dan perpindahan.
Jarak merupakan panjang lintasan yang ditempuh, sedangkan perpindahan adalah jumlah lintasan yang ditempuh dengan memperhitungkan posisi awal dan akhir benda. Perpindahan merupakan jarak lurus resultan dari posisi awal sampai posisi akhir (Tim Kemdikbud, 2017, hlm. 4). Karena kita kembali lagi ke titik awal kita berangkat (rumah), maka perpindahan yang terjadi tidak ada atau 0.
Berapa lama waktu yang dibutuhkan untuk menempuh jarak lintasan yang kita tempuh? Sangat bergantung pada kecepatan kita bergerak. Saat berjalan kaki tentunya kita akan membutuhkan waktu yang lebih lama jika dibandingkan dengan menggunakan kendaraan bermotor.
Gerak Lurus
Gerak lurus adalah gerakan satu dimensi yang lintasannya berubah garis lurus atau tidak berkelok. Terdapat dua macam gerak lurus, yaitu Gerak Lurus Beraturan (GLB) dan Gerak Lurus Berubah Beraturan (GLBB).
- Gerak Lurus Beraturan (GLB) terjadi apabila kecepatan gerak suatu benda konstan.
- Gerak Lurus Berubah Beraturan (GLBB) terjadi apabila suatu benda bergerak dengan percepatan yang konstan.
Persamaan/Rumus Kelajuan
Kita dapat menghitung berapa lama waktu yang dibutuhkan untuk menempuh jarak tertentu. Contohnya, seorang atlet yang bergerak lurus beraturan mampu menempuh jarak 30 meter dalam waktu 6 sekon (detik).
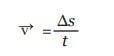
Dengan kata lain, atlet tersebut mampu menempuh jarak 5 meter setiap sekonnya. Kemampuan atlet dalam menempuh jarak (s) tertentu setiap sekonnya (t) disebut sebagai kelajuan atau secara matematis dapat ditulis: v = s/t .
Persamaan atau rumus kelajuan tersebut dimanfaatkan dalam spedometer kendaraan bermotor untuk menghitung berapa kecepatan laju yang sedang kita jalani. Jika kelajuan mengukur jarak tempuh, maka kecepatan mengukur perpindahan (∆s, dengan ∆ adalah perubahan/selisih) gerak benda tiap satuan waktu (t).

Meskipun kelajuan dan kecepatan memiliki definisi konsep yang berbeda, namun pada Gerak Lurus Beraturan (GLB) besar kecepatan dan kelajuan memiliki nilai, simbol (v), serta satuan yang sama (m/s).
Persamaan/Rumus Matematis Percepatan
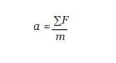
Tentunya saat melakukan perjalanan dari rumah ke sekolah, kendaraan yang kita tumpangi akan bergerak dengan kecepatan yang berubah-ubah tiap waktu. Percepatan atau perlambatan mobil tersebut dengan mudah dapat diamati dari adanya perubahan besar kelajuan mobil yang ditunjukkan oleh jarum speedometer atau angka yang muncul pada GPS. Secara matematis, percepatan dapat dirumuskan sebagai berikut.

dengan keterangan:
a = percepatan (m/s2 )
∆v = perubahan kecepatan (m/s)
∆t = perubahan waktu (s)
vt = kecepatan akhir
(m/s) v0 = kecepatan awal (m/s)
Gaya
Gaya adalah tarikan atau dorongan dan dapat mengubah bentuk, arah, dan kecepatan benda (Tim Kemdikbud, 2017, hlm. 10). Contohnya kita dapat melempar plastisin (malam/lilin), menghentikan lemparan (menangkap) plastisin, atau bahkan mengubah bentuk plastisin dengan memberikan gaya (mengepalnya).
Gaya apakah yang diberikan pada plastisin tersebut? Ada berapa jenis gaya yang dapat kita temukan dalam kehidupan sehari-hari? Gaya dapat dibedakan menjadi gaya sentuh dan gaya tak sentuh.
Gaya Sentuh
Gaya sentuh adalah gaya yang membutuhkan sentuhan langsung terhadap benda yang dikenai atau diberi gaya. Contoh dari gaya sentuh adalah gaya otot dan gaya gesek.
- Gaya otot adalah gaya yang ditimbulkan oleh koordinasi otot dengan rangka tubuh. Misalnya, seseorang hendak memanah dengan menarik mata panah ke arah belakang.
- Gaya gesek adalah gaya yang diakibatkan oleh adanya dua buah benda yang saling bergesekan. Gaya gesek selalu berlawanan arah dengan gaya yang diberikan pada benda. Contohnya adalah gaya gesekan antara meja dengan lantai. Meja yang didorong ke depan akan bergerak ke depan, namun pada waktu yang bersamaan meja juga akan mengalami gaya gesek yang arahnya berlawanan dengan arah gerak meja.
Gaya tak Sentuh
Gaya tak adalah gaya yang tidak membutuhkan sentuhan langsung dengan benda yang dikenai. Contohnya seperti saat kita mendekatkan ujung magnet batang dengan sebuah paku besi. Seketika paku besi akan tertarik dan menempel pada magnet batang. Hal tersebut disebabkan oleh adanya pengaruh gaya magnet yang ditimbulkan magnet batang.
Selain gaya magnet, gaya gravitasi pada orang yang sedang terjun payung juga merupakan contoh gaya tak sentuh. Lebih lanjut tentang gaya dan interaksinya terhadap gerak benda akan dibahas pada pembahasan tentang Hukum Newton tentang gerak.
Hukum Newton
Gerak benda akan selalu bersentuhan dengan hukum Newton. Apa itu hukum Newton? Hukum Newton adalah beberapa hukum atau aturan yang akan berlaku ketika benda bergerak. Berikut adalah pemaparannya.
Hukum I Newton
Hukum I Newton menyatakan bahwa benda yang tidak mengalami resultan gaya (ΣF=0) akan tetap diam atau bergerak lurus beraturan. Benda memiliki kecenderungan untuk tetap mempertahankan keadaan diam atau geraknya dengan kecepatan tetap yang disebut sebagai inersia atau kelembaman benda.
Contoh lain yang menunjukkan inersia benda adalah saat kita berada di dalam sebuah mobil yang sedang melaju kencang kemudian tiba-tiba di rem. Badan kita akan terdorong ke depan karena badan ingin mempertahankan geraknya ke depan. Oleh karena itu, diperlukan penggunaan sabuk pengaman agar kita tidak terdorong ke depan saat mengendarai mobil.
Hukum II Newton
Hukum II Newton menyatakan bahwa percepatan gerak sebuah benda berbanding lurus dengan gaya yang diberikan, namun berbanding terbalik dengan massanya. Percepatan gerak sebuah benda berbanding lurus dengan gaya yang diberikan, namun berbanding terbalik dengan massanya atau dapat dirumuskan dengan:

Di dalam kehidupan sehari-hari kita mengetahui fakta bahwa pada saat memindahkan suatu benda akan lebih cepat jika gaya yang dikenakan semakin besar. Hal ini dikarenakan gaya berbanding lurus dengan percepatan. Jadi, dengan gaya yang besar maka akan didapatkan percepatan yang lebih besar juga.
Selain itu, saat kita memindahkan benda yang lebih ringan, maka akan lebih cepat daripada memindahkan benda yang berat jika kita menggunakan besar gaya dorong yang sama. Hal ini disebabkan massa meja yang lebih kecil daripada massa lemari dan massa berbanding terbalik dengan percepatan benda. Semakin kecil massa benda, maka semakin besar percepatan benda tersebut.
Hukum III Newton
Hukum III Newton menyatakan bahwa ketika benda pertama mengerjakan gaya (Faksi) pada benda kedua, maka benda kedua tersebut akan memberikan gaya (Freaksi) yang sama besar ke benda pertama namun berlawanan arah atau Faksi=−Freaksi.
Contoh gaya aksi dan reaksi tersebut misalnya pada peristiwa orang berenang. Gaya aksi dari tangan perenang ke air mengakibatkan gaya reaksi dari air ke tangan dengan besar gaya yang sama namun arah gaya berlawanan, sehingga orang tersebut akan terdorong ke depan meskipun tangannya mengayuh ke belakang.
Sebagai akibat dari massa air yang jauh lebih besar daripada massa orang, maka percepatan yang dialami orang akan jauh lebih besar daripada percepatan yang dialami air. Hal ini mengakibatkan orang tersebut akan melaju ke depan.
Sistem Gerak Manusia
Manusia memiliki sistem gerak yang memungkinkannya untuk bergerak. Sistem gerak manusia terdiri dari organ rangka, sendi, dan otot. Berikut adalah penjelasan berbagai organ-organ yang berperan dalam sistem gerak manusia, dimulai dari rangka.
Rangka
Rangka atau kerangka manusia adalah struktur dasar tubuh manusia yang terdiri dari bermacam tulang untuk menyokong dan mewadahi seluruh organ tubuh. Fungsi rangka yaitu memberikan bentuk pada tubuh dan menopang tubuh manusia yang meliputi:
- melindungi organ dalam, misalnya tulang rusuk melindungi jantung dan paru-paru, tulang tengkorak melindungi otak;
- tempat menempelnya otot yang merupakan alat gerak aktif sehingga dapat menggerakkan tulang;
- sebagai tempat pembentukan sel darah (pada jenis tulang tertentu, seperti tulang paha).

Tulang
Tulang adalah satuan kecil yang membentuk rangka. Pada anggota tubuh bagian tangan terdapat 6 jenis tulang, yaitu:
- tulang lengan atas (humerus),
- tulang pengumpil (radius),
- tulang hasta (ulna),
- tulang pangkal telapak tangan (karpal),
- tulang ruas jari (falang), dan
- tulang telapak tangan (metakarpal).
Jumlah seluruh tulang tubuh manusia dewasa terdiri dari 206 tulang.
Fungsi Tulang
Secara umum, ada empat fungsi utama tulang bagi tubuh, yaitu sebagai berikut.
- Memberikan bentuk pada tubuh dan menopang tubuh kita.
- Melindungi organ dalam, misalnya tulang rusuk melindungi jantung dan paru-paru, tulang tengkorak melindungi otak.
- Tempat menempelnya otot yang merupakan alat gerak aktif sehingga dapat menggerakkan tulang.
- Pada jenis tulang tertentu, seperti tulang paha (femur) tulang juga berfungsi sebagai tempat pembentukan sel darah. Sel darah dibentuk di bagian sumsum tulang, yaitu jaringan lunak yang terdapat di bagian tengah tulang (Tim Kemdikbud, 2017, hlm. 24).
Struktur Tulang
Struktur tulang tidaklah halus dan cukup kompleks karena terdiri dari beragam bagian-bagian pembentuknya. Terdapat benjolan pada bagian ujungnya, berbentuk bulat serta terdapat titik-titik kasar pada bagian ujung, terdapat lekukan, tonjolan, dan lubang.

Masing-masing bagian tersebut memiliki fungsi yang berbeda-beda. Lekukan dan tonjolan berfungsi sebagai tempat menempelnya otot. Lubang berfungsi sebagai tempat keluar masuknya pembuluh darah dan saraf.
Permukaan tulang ditutupi oleh membran yang menempel dengan kuat, membran itu disebut periosteum. Pada periosteum terdapat pembuluh-pembuluh darah kecil yang berfungsi membawa zatzat makanan ke dalam tulang. Membran ini juga penting dalam pertumbuhan dan perbaikan tulang.
Pada bagian bawah periosteum terdapat tulang kompak atau disebut juga tulang keras, yaitu suatu lapisan tulang yang keras dan kuat. Tulang kompak mengandung sel-sel tulang, pembuluh-pembuluh darah, zat kapur dan fosfor, serta serabut elastis. Kerasnya tulang disebabkan karena tulang mengandung zat kapur dan fosfor. Sedangkan serabut-serabut elastis mempertahankan tulang agar tetap kuat, tidak mudah rapuh atau patah.
Tulang spons dalam tulang pipa atau tulang panjang terdapat di daerah ujung tulang. Tulang spons kurang kompak dan mempunyai banyak ruang-ruang kecil terbuka yang membuat tulang menjadi ringan.
Tulang panjang mempunyai lubang atau saluran yang besar. Saluran-saluran itu terdapat di tengah tulang panjang dan diisi oleh jaringan berlemak yang disebut sumsum. Sumsum merah tulang berada di daerah tulang panjang bagian ujung di antara tulang spons, sedangkan sumsum kuning berada di tulang panjang bagian tengah dan sebagian besar berisi lemak.
Pada keadaan normal atau seseorang yang sehat, sumsum tulang merah menghasilkan sel-sel darah merah dengan kecepatan sampai tiga juta sel per sekon. Sel-sel darah putih juga dihasilkan di dalam sumsum tulang, tetapi lebih sedikit jumlahnya.
Ujung tulang panjang ditutup dengan suatu lapisan jaringan tebal, lunak dan lentur, yang disebut dengan tulang rawan (kartilago). Tulang rawan tersusun atas sel-sel yang dikelilingi oleh matriks protein yang dihasilkan oleh sel-sel tersebut. Selain di ujung-ujung tulang panjang, tulang rawan juga dapat ditemukan di ujung-ujung tulang rusuk, dinding saluran pernapasan, hidung, dan telinga.
Macam-Macam Tulang pada Sistem Rangka
Menurut Tim Kemdikbud (2017, hlm. 26) bentuk tulang manusia dibedakan menjadi empat, yaitu:
- tulang panjang, misalnya tulang lengan (humerus),
- tulang pipih, misalnya tulang dada (sternum),
- tulang pendek, misalnya tulang ruas jari (falang), dan
- tulang tidak beraturan, misalnya tulang punggung (vertebra).
Perkembangan Tulang
Tulang yang ada di tubuh kita merupakan suatu benda yang keras, meskipun demikian tulang bukan suatu benda yang memiliki ukuran tetap. Beberapa bulan sebelum manusia dilahirkan, tulang seseorang masih tersusun dari kartilago (tulang rawan). Secara bertahap, tulang rawan akan berkembang menjadi tulang keras. Akan tetapi, pada perkembangannya tidak semua tulang rawan pada tubuh manusia menjadi tulang keras.

Proses pengubahan tulang rawan menjadi tulang keras disebut dengan penulangan atau osifikasi. Bagaimana proses osifikasi berlangsung? Proses osifikasi berawal dari tulang rawan. Tulang rawan bentuknya mirip dengan tulang dewasa. Selain itu, tulang rawan memiliki rongga yang terisi oleh osteoblas (sel-sel pembentuk tulang). Selanjutnya, osteoblas akan membentuk osteosit (sel-sel tulang).
Proses osifikasi dimulai dari bagian tengah tulang rawan dan kemudian meluas ke seluruh arah sesuai dengan pertumbuhan tulang rawan. Di antara jaringan tulang yang terbentuk terdapat pembuluh darah. Pembuluh darah ini akan membawa mineral seperti kalsium sehingga tulang yang terbentuk menjadi keras.
Sendi
Sendi adalah tempat bertemunya dua tulang atau lebih (Tim Kemdikbud, 2017, hlm. 29). Mengapa kita dapat melakukan berbagai macam gerakan? Padahal tulang sebagai penyusun dasar tubuh kita sangatlah keras serta tidak dapat dibengkokkan. Kita dapat menggerakkan tulang karena terdapat sendi yang menjadi penghubung antara tulang-tulang tubuh.
Sendi dapat dikelompokkan berdasarkan banyak sedikitnya gerakan yang mungkin dilakukan. Sendi yang tidak dapat digerakkan disebut dengan sinartrosis, contohnya adalah sendi yang terdapat pada tulang tengkorak.
Sementara itu, sendi yang dapat digerakkan namun terbatas disebut dengan amfiartrosis, misalnya sendi antarruas tulang belakang.
Sendi yang dapat digerakkan dengan bebas disebut dengan diartrosis. Diartrosis dibagi menjadi sendi peluru, sendi engsel, sendi putar, sendi pelana, dan sendi geser.
Sendi Peluru
Sendi peluru menghubungkan antara satu tulang yang mempunyai satu ujung bulat yang masuk ke ujung tulang lain yang berongga seperti mangkuk. Karakteristik unik sendi ini adalah dapat membentuk gerakan sangat bebas. Contoh sendi peluru adalah sendi antara tulang lengan atas dan tulang belikat, serta antara tulang pinggul dan tulang paha. Adanya sendi ini memungkinkan tulang-tulang tersebut dapat diayunkan ke arah manapun.

Sendi Engsel
Sendi engsel mempunyai gerakan satu arah, ada yang ke depan dan ada yang ke belakang seperti engsel pintu. Contoh sendi engsel antara lain sendi-sendi pada siku dan lutut.

Sendi Putar
Pada sendi putar salah satu tulang berfungsi sebagai poros dan ujung tulang yang lain berbentuk cincin yang dapat berputar pada poros tersebut. Contoh sendi putar adalah persendian yang terdapat di antara tulang tengkorak dengan tulang leher.

Sendi Pelana
Pertemuan antara dua tulang yang berbentuk seperti pelana disebut dengan sendi pelana. Sendi ini dapat menggerakkan tulang ke dua arah, yaitu muka-belakang dan ke samping. Contoh sendi pelana adalah pada pangkal ibu jari manusia.

Sendi Geser
Sendi geser menghubungkan antara dua tulang yang memiliki permukaan yang datar. Prinsip kerja sendi ini adalah satu bagian tulang bergerak menggeser di atas tulang lain. Contoh sendi geser berada pada tulang-tulang pergelangan tangan dan pergelangan kaki dan di antara tulang belakang.

Sendi geser merupakan sendi yang paling sering digunakan dalam melakukan aktivitas seharihari, misalnya mengambil buku, naik tangga, makan, dan beberapa aktivitas lainnya.
Otot
Otot adalah penggerak bagian-bagian tubuh, sehingga otot disebut alat gerak aktif. Hampir 35 hingga 40 persen massa tubuh adalah jaringan otot. Otot adalah jaringan yang dapat berkontraksi menjadi lebih pendek. Proses kontraksi tersebut mengakibatkan bagian-bagian tubuh kita dapat bergerak. Proses kontraksi membutuhkan energi yang kita dapatkan dari makanan.

Tiga Jenis Jaringan Otot
Ada tiga jenis jaringan otot yang menyusun tubuh manusia, yaitu otot rangka, otot jantung, dan otot polos.
Otot Rangka
Otot Rangka adalah otot yang paling banyak terdapat di dalam tubuh. Jika diamati di bawah mikroskop, sel-sel otot rangka terlihat bergaris-garis melintang, sehingga otot ini juga disebut dengan otot lurik. Otot rangka melekat pada tulang dengan perantaraan tendon. Tendon adalah pita tebal, berserabut, dan liat yang melekatkan otot pada tulang.
Terdapat dua jenis otot berdasarkan kesadarannya, yakni otot sadar dan otot tak sadar. Berdasarkan klasifikasi tersebut, otot rangka tergolong otot sadar dan cenderung cepat berkontraksi sehingga mudah lelah.
Otot Polos
Otot polos terdapat pada dinding lambung usus halus, rahim, kantung empedu, dan pembuluh darah. Berbeda dengan otot rangka, otot polos berkontraksi dan berelaksasi dengan lambat. Otot ini berbentuk gelendong serta memiliki sebuah inti pada tiap selnya. Berdasarkan cara kerjanya, otot polos tergolong dalam otot tak sadar.
Otot Jantung
Otot jantung hanya ditemukan di jantung berwujud mempunyai garis-garis seperti otot rangka. Cara kerja otot jantung mirip otot polos karena tergolong otot tidak sadar. Otot jantung berkontraksi sekitar 70 kali per menit sepanjang hari selama hidupmu. Kita dapat mengetahui bahwa otot jantung berkontraksi pada saat jantung berdenyut.
Gangguan dan Kelainan pada Sistem Gerak dan Upaya Mencegah serta Mengatasinya
Tentunya terdapat berbagai gangguan dan kelainan yang memungkinkan terhambat hingga tidak berfungsinya fungsi gerak dalam tubuh manusia. Berikut adalah beberapa gangguan dan kelainan pada sistem gerak manusia.
- Riketsia
Riketsia terjadi karena kekurangan vitamin D yang membantu penyerapan kalsium dan fosfor sehingga proses pengerasan tulang terganggu. Penyakit ini terjadi pada anak-anak. Riketsia menyebabkan tulang kaki tumbuh membengkok. Penyembuhan dan pencegahan dari penyakit ini adalah dengan penambahan kalsium, fosfor, dan vitamin D ke dalam menu makan. - Osteoporosis
Osteoporosis disebabkan karena kekurangan kalsium yang umumnya terjadi pada orang dewasa dan orangtua. Orangtua biasanya menghasilkan lebih sedikit hormon, sehingga osteoblas sebagai pembentuk tulang kurang aktif dan massa tulangpun jadi berkurang. Tulang yang kekurangan mineral akan menjadi rapuh dan mudah patah. - Artritis
Artritis adalah penyakit sendi, penderita penyakit ini mempunyai tulang rawan sendi yang rusak. Kerusakan ini menyebabkan sendi menjadi sakit dan bengkok. Terkadang penyakit ini membuat sendi yang terkena artritis tidak dapat digerakkan. Rematik adalah salah satu bentuk artritis. Upaya untuk mengurangi terjadinya artritis yaitu dengan mengonsumsi makanan yang seimbang. - Fraktura (Patah Tulang)
Tulang memiliki struktur kuat dan lentur, namun demikian tulang juga dapat patah. Salah satu penyebab terjadinya patah tulang adalah karena tulang mengalami benturan yang keras, misalnya pada saat kecelakaan atau jatuh dari tempat yang tinggi. - Kifosis, Lordosis, dan Skoliosis
Tulang belakang manusia yang normal tidaklah lurus, tetapi melengkung. Namun ketika lengkungan itu berlebih dan tidak pada arah seharusnya, terjadilah satu dari tiga gangguan kesehatan sistem gerak meliputi: a) Kifosis yang merupakan kelainan dengan melengkungnya tulang belakang yang berlebihan di bagian dada ke arah belakang; b) Lordosis yang merupakan kelainan dengan melengkungnya tulang belakang yang berlebihan ke arah depan di bagian pinggang; dan Skoliosis yang merupakan melengkungnya tulang belakang ke arah samping.
Upaya Menjaga Kesehatan Sistem Gerak pada Manusia
Beberapa cara yang dapat kita lakukan untuk menjaga kesehatan sistem gerak kita adalah sebagai berikut.
- Meningkatkan kandungan kalsium dalam asupan makanan. Makanan yang banyak mengandung kalsium di antaranya susu, kangkung, kedelai dan olahannya, ikan salmon, kacang almond, dan brokoli.
- Berjemur pada sinar matahari pagi karena sinarnya sangat baik untuk membantu pembentukan vitamin D yang sangat penting dalam membantu penyerapan kalsium dalam makanan.
- Memerhatikan asupan vitamin D dengan makan makanan yang mengandung vitamin D. Makanan yang mengandung vitamin D di antaranya telur, produk olahan dari kedelai, minyak ikan, ikan berlemak, hati sapi, dan udang.
- Memerhatikan aktivitas fisik yang cukup setiap harinya. Aktivitas fisik seperti jalan kaki, jogging, tenis, menaiki tangga dapat membantu terbentuknya tulang yang kuat dan memperlambat proses kerapuhan tulang pada tubuh.
- Menghindari kebiasaan sikap tubuh yang salah, misalnya dengan cara duduk yang benar yaitu tulang belakang harus dalam posisi tegak (tidak membungkuk), saat tidur sebaiknya memakai alas yang datar dan padat agar posisi tulang belakang tetap lurus.
Sistem Gerak pada Hewan
Tentunya setiap makhluk hidup memiliki sistem gerak yang berbeda. Secara umum sistem gerak pada hewan dapat diklasifikasikan menjadi gerak hewan di darat, udara, dan air. Berikut adalah pemaparannya.
Gerak Hewan dalam Air
Hewan yang hidup di air dapat melayang-layang di dalam air dengan mengeluarkan sedikit energi karena adanya gaya angkat oleh air. Air memiliki kerapatan yang lebih besar dibandingkan udara, sehingga hewan lebih sulit bergerak di air daripada di udara.
Salah satu bentuk tubuh yang paling banyak dimiliki oleh hewan air adalah bentuk torpedo (streamline). Bentuk tubuh ini memungkinkan tubuh meliuk dari sisi ke sisi dan mengurangi hambatan ketika bergerak di dalam air. Tubuh ikan dilengkapi otot dan tulang belakang yang fleksibel untuk mendorong ekor dan sirip ikan di dalam air.
Ikan juga memiliki sirip tambahan yang berfungsi untuk menjaga keseimbangan. Untuk mengatur gerakan naik turun, ikan memiliki gelembung renang yang dapat mengeluarkan gas (biasanya berupa oksigen).
Gerak Hewan di Udara
Bagaimana burung tersebut dapat terbang dengan stabil di udara? Apa yang memengaruhi gerakan burung tersebut? Gravitasi adalah masalah utama yang dihadapi oleh hewanhewan yang terbang di udara.
Tubuh hewan-hewan yang terbang di udara harus memiliki gaya angkat yang besar untuk mengimbangi gaya gravitasi karena tidak mungkin tubuh hewan memiliki massa jenis yang mendekati massa jenis udara. Salah satu upaya untuk memperbesar gaya angkat adalah dengan menggunakan sayap.
Sayap burung tersusun atas kerangka yang kuat dan ringan, serta otot yang kuat. Sayap burung memiliki bentuk melengkung sehingga udara yang mengalir pada bagian atas sayap lebih cepat daripada bagian bawahnya. Hal ini akan menghasilkan gaya angkat dan gaya dorong yang efektif untuk pergerakan burung.
Struktur sayap yang demikian disebut airfoil. Saat sayap dikepakkan, sayap memberikan gaya aksi terhadap udara di bawah sayap, sehingga udara akan mengalir ke bawah.
Gerak Hewan di Darat
Kecenderungan hewan yang hidup di darat adalah memiliki otot dan tulang yang kuat. Hal tersebut diperlukan untuk mengatasi inersia (kecenderungan tubuh untuk diam) dan untuk menyimpan energi pegas (elastisitas) untuk melakukan berbagai aktivitas.
Gajah dan kerbau memiliki massa tubuh yang sangat besar, akibatnya untuk bergerak, gajah dan kerbau harus melawan inersia yang nilainya juga sangat besar. Lain halnya dengan kuda, harimau, dan kijang, yang memiliki tubuh dan bentuk kaki yang lebih ramping, sehingga mampu menyimpan elastisitas yang tinggi dan dapat bergerak dengan lebih cepat tanpa hambatan inersia yang terlalu besar.
Sistem Gerak pada Tumbuhan
Bagaimana dengan sistem gerak pada tumbuhan? Bukankah tumbuhan diam dan tidak dapat berpindah seperti hewan? Tidak semua tumbuhan statis terdiam. Salah satu contoh yang paling terlihat adalah tumbuhan putri malu. Ketika daun tumbuhan putri malu disentuh, maka daun putri malu akan menutup.
Bagaimana daun putri malu dapat menutup? Ketika daun putri malu dikenai rangsang, akan terjadi aliran air dan ion pada bagian ketiak daun. Adanya aliran air ini menyebabkan kadar air pada ketiak daun berkurang, sehingga tekanannya mengecil. Akibatnya daun putri malu akan menutup dan tampak seperti layu.
Lalu bagaimana dengan tumbuhan-tumbuhan lain? Tumbuhan juga bergerak ketika tumbuh seiring waktu (membesar/memanjang). Berdasarkan asal datangnya rangsangan, gerak pada tumbuhan dibedakan menjadi tiga, yaitu gerak endonom, gerak higroskopis, dan gerak esionom.
- Gerak endonom adalah gerak yang terjadi akibat rangsangan yang berasal dari dalam sel atau tubuh tumbuhan
- Gerak higroskopis adalah gerak yang terjadi karena adanya perubahan kadar air di dalam sel secara tidak merata. Contohnya membukanya buah polong-polongan dan membukanya dinding sporangium tumbuhan paku
- Esionom adalah gerak tumbuhan yang disebabkan oleh adanya rangsangan dari luar tubuh tumbuhan (lingkungan sekitar).
Pembagian Gerak Esionom
Berdasarkan arah respons gerak yang dilakukan tumbuhan, gerak esionom dapat dibedakan menjadi:
- gerak tropisme (rangsang dari luar), yang terbagi menjadi tropisme positif jika mendekati arah datangnya rangsang, dan tropisme negatif jika arah gerak menjauhi rangsang;
- gerak taksis (arahnya dipengaruhi oleh sumber rangsangan); dan
- nasti (tidak dipengaruhi oleh arah datangnya rangsang) yang terbagi menjadi: a) seismonasti, yakni gerak nasti tumbuhan yang dipengaruhi oleh getaran atau sentuhan; b) niktinasti, yakni gerak akibat adanya rangsangan berupa kondisi siang hari dan malam hari, dan c) fotonasti adalah gerak nasti pada tumbuhan yang disebabkan adanya rangsangan berupa cahaya.
Referensi
- Kementerian Pendidikan dan Kebudayaan. (2017). Ilmu Pengetahuan Alam SMP/MTs Kelas VIII. Jakarta: Kementerian Pendidikan dan Kebudayaan.
